Series Temporales
Modelo Autorregresivo
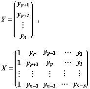
Las observaciones de una serie cronológica están asociadas
a los diferentes valores que alcanza una magnitud que varía en el tiempo. Tales valores
se guardan en una lista de la forma
(y1, y2, ..., yn).
El ajuste autorregresivo de orden p, AR(p), consiste en suponer que
los valores registrados han sido generados por un modelo subyacente de la forma
esto es, la lectura que se obtiene en la etapa i-ésima depende linealmente
de las últimas p observaciones, más un error aleatorio representado
aquí por ei. Otras hipótesis adicionales del modelo son:
- El proceso es estacionario hasta el segundo orden (significa esto que la esperanza
estocástica de las observaciones es constante y que la covarianza entre
observaciones depende únicamente de su separación en el tiempo).
- Los residuos ei son normales de media nula y varianza
desconocida; estos residuos son, por lo demás,
independientes entre sí y de las variables yi del
proceso.
Tal como ha quedado especificado, el modelo AR(p) tiene p+2
parámetros a estimar a partir de los datos observados:
- Los p+1 coeficientes autorregresivos

- La varianza del residuo,
.
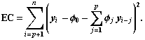
El método de estimación adoptado aquí es el de los mínimos cuadrados,
que consiste en calcular los parámetros autorregresivos de forma tal que minimicen el
error cuadrático
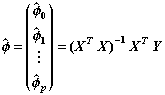
Así, el estimador del vector paramétrico es
siendo
habiéndose indicado la transposición matricial mediante el superíndice
T.
El estimador mínimo cuadrático de la varianza ,
o varianza residual, se calcula mediante
La etapa de validación es la fase en la que se comprueba que el modelo AR(p)
explica aceptablemente la serie
numérica observada; en ella se debe analizar si las hipótesis del modelo son
válidas.
Nos limitamos aquí al chequeo de los residuos estimados
- Media nula y varianza constante: la serie de residuos estimados
debe comportarse de forma que no experimente tendencias ni alteraciones importantes
en su variabilidad a lo largo del tiempo. En la esquina inferior derecha del
applet se representa esta serie de residuos, junto con su intervalo de
confianza del 95% bajo las hipótesis mencionadas.
- Independencia: para contrastar que los residuos son independientes se plantea la
hipótesis nula
H0: "los k primeros coeficientes de correlación
son nulos: ".
frente a la alternativa:
H1: "al menos existe un coeficiente de correlación no nulo:
".
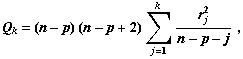
Se calcula para ello el estadístico de Ljung-Box:
el cual se distribuye como una distribución ,
siendo (r1, r2, ..., rk)
las correlaciones correspondientes a los k primeros retardos. El valor
k elegido para la realización del test es el entero más
próximo a 10 log10(n-p).
El contraste se realiza para un nivel de significación del 5%.
Caso
Durante la fase temprana del periodo menstrual de una mujer sana se han registrado, a partir de
muestras sanguíneas, durante ocho horas y a intervalos de diez minutos, los niveles de
cierta hormona cuyo papel es importante en el proceso reproductivo. Las 48 lecturas realizadas
son las siguientes:
| 2.4 |
2.4 |
2.4 |
2.2 |
2.1 |
1.5 |
2.3 |
2.3 |
2.5 |
2.0 |
1.9 |
1.7 |
2.2 |
1.8 |
3.2 |
3.2 |
| 2.7 |
2.2 |
2.2 |
1.9 |
1.9 |
1.8 |
2.7 |
3.0 |
2.3 |
2.0 |
2.0 |
2.9 |
2.9 |
2.7 |
2.7 |
2.3 |
| 2.6 |
2.4 |
1.8 |
1.7 |
1.5 |
1.4 |
2.1 |
3.3 |
3.5 |
3.5 |
3.1 |
2.6 |
2.1 |
3.4 |
3.0 |
2.9 |
Mediante el ajuste de un modelo matemático se quiere caracterizar la serie para establecer
las diferencias entre las propiedades de las series tomadas en otras fases del ciclo menstrual.
Para el orden p=1, se obtiene el modelo
yi = 0.9999 + 0.5860 yi-1,
para todo i= 2, ..., n. La varianza residual asociada es de
0.2016. Del gráfico de los residuos, éstos no parecen experimentar tendencia a lo
largo del tiempo, ni que su variabilidad se vea alterada; además, la mayor parte de ellos
se mantienen dentro de los márgenes de confianza, lo que nos permite concluir que las
hipótesis de normalidad, nulidad de la esperanza y constancia de la variancia (homocedasticidad)
son válidas. Por otro lado, según el contraste de Ljung-Box, la hipótesis
de independencia de estos residuos puede
mantenerse como aceptable al nivel de significación del 5%. A falta de un chequeo más
exhaustivo, parece que el modelo estimado se ajusta razonablemente bien a la serie observada de
niveles hormonales. Experimentando con órdenes superiores (p= 2, 3, ...),
el análisis de los residuos sigue dando resultados razonables, pero mejorando muy levemente
la varianza residual, lo que induce a tomar como bueno el modelo autorregresivo AR(1), ya que el
aumento de su complejidad no redunda en una mejora sensible del poder predictivo de éste.
(Fuente: Peter J. Diggel (1992)
Time Series. A Biostatistical Introduction. Oxford Science Publication.)
Manual de las applets de BioMates
© BioMates, 2000-2001
|